第1节. 主从服务故障恢复和级联复制
半途做主从
一半业务刚起步也不会做什么主从,就单机,随着业务体量起来才会考虑架构的事情。所以需要处理主从复制的时候主节点上已经有很多数据的情况。
思路就是:先将主节点的数据备份-还原到从节点--其实如果是VM直接克隆出来一台就行了连mysqldump都不需要,再开启主从复制,复制的位置就是show master logs的位置。
实验一下
1、弄一个干净的mariadb服务

然后这里报错,就是文件夹的权限问题

binlog就有了

2、制造一些数据,代表单节点的数据起来了--我认为因该要做这个




然后备份,还原一下,这里就不偷懒用VM克隆,实际工作中反而是克隆直接,不过具体情况具体看咯,两种方法都得会。
主节点的账号要不要复制过去给从节点,要!主从复制本身从节点上不用有账号库,但是从节点万一成为了主节点,此时其他的从节点就会和这个提升上来的从节点上同步数据,此时该节点就需要有同步用的账号库了。这就是考虑问题的时间跨度要有,所以当面临一个不擅长的问题,就需要有这个时间跨度的意识去拉自己一把。
所以做主从的时候,就是先创建账号,再备份还原过去,这样账号就一起还原到从节点了。
3、有了一些数据了,也先于主从复制创建了账号。现在还是备份使用mysqldump


关键语句如下👇

这条语句其实就是主从复制的,从节点上面用的复制配置CLI。

msyqldump里的--master-data=1这个=1就是在从节点上面还原的时候直接顺带执行了change master to xxxx 了,不过还缺一个mater的IP是多少。
所以直接在从节点执行也是不行的。还得补齐master的IP,复制的账号。
4、将dump出来的备份复制到从节点


将从节点的mariadb 删库,卸载,重装,发现,/etc/my.cnf会自动给你备份,新建,还是挺不错的。
重新安装好mariadb后,不要启用服务,否则会自动生成/var/lib/mysql/的一些文件,这样不利于还原主节点那边的数据。 # 当然这视频里说的,现在版本又不这么回事了,yum install后,直接/var/lib/mysql/下就会直接生成文件,不用启动也会又文件初始化生成的。所以不用管这些。而且你恢复dump文件的时候就是要先启动服务的。
然后vim 进去备份文件all.sql补全从节点的change maser to的相关信息
5、修改从节点的配置文件

6、恢复dump文件
启动服务



db也是默认的几个,slave status也是空的
serverid没问题,注意是下划线。/etc/my.cnf里面可以-可以\,但是mysql交互模式进来就是变量去看,变量就是_。


但是这个read_only ON是防不住root的哦,root依然可以修改的。
由于vim过all.sql补齐了change master to的相关信息,所以可以直接mysql < all.sql还原并直接置为从节点,如果在交互模式里直接source /data/all.sql就行


此时从节点的配置好了,就差一个启动

然后此时一些 relay文件就生成了

目前没有启动,从节点和master节点的网络连接还没有

待会启动了slave start后,从节点就会主动连接主节点的3306端口去了。

然后就报错鸟

不过由于IO thread起来了,所以ss -nt tcp连接时已经建立

然后拍个错
这对这个报错

flush priveleges;就行了,然后start slave;一下。
然后就发现继续报错

我只能说FUCK,然后我继续排错,过程嘛就是remove \install \remove\install,
发现了一个all.sql这个dump文件里的错误,就是分号

好像就是这个原因,我再改回分号试试,破案了,就是这个分号导致了上面的start slave后的show slave stauts\G看到的报错,而且细究一下其实mysql < /data/all.sql是会报错的,👇如图

但是你要是进入mysql,敲source /data/all.sql,就看不到报错了,所以由此看来,还是建议在外面做mysql < /data/all.sql的还原操作比较OK。

👆应该root不受限,所以可以导入了
总之就是
yum -y remove mariadb-server
rm -rf /var/lib/mysql/*
yum -y install mariadb-server
\cp -a /etc/my.cnf.rpmsave /etc/my.cnf
systemctl start mariadb
systemctl status mariadb
mysql < /data/all.sql
这样就可以啦

OK了
tcp 建连也没问题

数据也还原的没问题

然后看看主从复制是否OK能否复制了


同步的很丝滑~
总结,在现有的mysql服务器基础上,实现主从复制


生成中主从复制的错误案例
1、案例1
有人本该去主上创建库,结果跑到从节点上创建了;发现后又跑到主节点上创建了一遍。
错误如下

然后去主上创建同名的库

但是我这个没报错啊,难道是高版本优化?
然后我在主节点上删掉这个db003试试

从节点此时就自动同步了,貌似高版本确实优化了

老版本是由这个问题的,如下图👇

这个问题的严重性在于:一旦发生这个错误,后续的主从复制就停滞了,继续在主节点上创建数据库,从节点就不会同步了。
这种冲突不仅仅是数据,这里只是举例,冲突可能存在于表,表里的记录都是可能的。
这里处理的方法不是在从上drop掉冲突的库,及时删掉,也不会继续同步的。需要stop salve和start slave,重启一下。但是生成中不能人工去处理的吖~而其是报错明确的,万一报错里的内容没有明确指出来呢,万一不止一条呢。



按视频里说法就是忽略这个报错的意思咯,我先不急记录他的处理方法,我先看看高版本里的这种错是否由优化自动处理掉了。



结果该问题确实有的,没有自动优化一说,继续处理吧。

此时主节点那边开始写入大量数据,从节点就卡在那边不同步了

此时从节点并不会同步

skip忽略错误-sql_slave_skip_counter
其实不仅仅是忽略错误,只是一般用在忽略错误上,sql_slave_skip_counter是忽略几个同步事件,错误也好,正确也罢,都算!如果忽略2个,结果第一个是错误,第二个是正确的,一样也会被忽略。

此时就可以同步复制了,之前主节点跑的存储过程其实就是创建和insert的testlog也同步过来了👇


当然忽略的1个报错,只是临时解决让数据继续同步下去,但是如果存在关联性,就不太好了,还是要回头过来去解决。
如果问题实在太多,还不如从的删掉,重新同步呢。
skip指定的error
再一个,尝试通过忽略错误编号的方式而不是忽略几个,这里要明确这个错误编号我测试下来不是说代表某一个错误,至少我insert 两次,忽略一次,1062的错误编号没变。





不行唉,read-only也碍事了,改一下

还是不对啊

算了该配置文件去



就好了。。。

所以那几个insert都是1062类型的错?我理解成类型不知道对不对啊。
对的吧,官方有的https://mariadb.com/kb/en/mariadb-error-codes/

如果主服务器宕机了
1、创建出1主2从的架构先
在主节点上执行
mysqldump -A --single-transaction --master-data=1 > /data/all2.sql
scp /data/all2.sql 192.168.126.131:/data
在从节点上执行
yum -y install mariadb-server
vim /etc/my.cnf
server-id=131
read-only
wr
systemctl restart mariadb
vim /data/all2.sql
----补齐-----
CHANGE MASTER TO
MASTER_HOST='192.168.126.129',
MASTER_USER='repluser',
MASTER_PASSWORD='centos',
MASTER_PORT=3306,
#MASTER_LOG_FILE='mariadb-bin.000032', 这两行是自动就有的
#MASTER_LOG_POS=548, 默认就有
MASTER_CONNECT_RETRY=10; # 注意最后一个才是分号
wr
mysql < /data/all2.sql
mysql
start slave;
show slave status\G; 看见2个YES就OK啦。
上面执行的过程中报错了




①是版本不一致导致的
②是
③所以看懂了没?真实的意思就是,你的所有的字段,就是列的字符总和长度超了,而且还涉及一个字符占多个Bytes的情况。
这里不换版本,处理很麻烦,搞不懂的,除非你vim进去修改各个字段的长度,保证加起来不超过2000,但是没这么玩的;然后innodb_large_prefix这个10.5.x版本也不让改的-配置文件里修改了启动不了服务了。
④处理方法就是换一样的版本,

好啦,瞎鸡巴搞,主从还不搞一样的版本!找抽!


模拟主从切换

此时存储过程大量insert正在进行中,然后关闭虚拟机。


此时两个从节点,都瞎了。
此时需要提升一个从节点未主节点,提升谁的依据就是 谁的同步的二进制日志的位置新就提升谁,


一样的,谁都行。不一样,找编号文件大,文件编号一样,再找Pos位置编号大的。
这里两个从节点同步状态一样,就随便选择一个,这里选择192.168.126.130吧
提升为主的从节点的操作:
-------------------------------------
mysql > stop slave;
mysql > reset slave; 这个只是删掉master.info文件,删掉了relay-log.info,xx-rely-bin.000xxx也没了?老版本是好像清空但是这个rely-binlog还在的。
vim /etc/my.cnf
log-bin # 最好独立路径,这里偷个懒。做主了,从就要开启binlog了
#read-only # 要去掉。做住了,从就要支持写了。
账号之前就复制过来了,所以授权复制的账号不需要再创建了,可以确认下
mysql > select user,host,password from mysql.user;
mysql > show master logs; # 看下提升为主得从,binlog从哪里开始的,待会还有一个从节点就从这里开始复制。


reset slave;清的不干净,需要加个all


不过新版,加不加all,/var/lib/mysql/的东西都是一样的效果了。
修改配置文件,这回儿提升为主了,需要修改一下

提供从节点复制的账号本来就是复制过来的,有的


然后还有一个从节点也要修改master信息
msysql > stop slave;
mysql > reset slave all;
mysql > CHANGE MASTER TO
MASTER_HOST='192.168.126.130',
MASTER_USER='repluser',
MASTER_PASSWORD='centos',
MASTER_PORT=3306,
MASTER_CONNECT_RETRY=10,
MASTER_LOG_FILE='bind-2-bin.000001', MASTER_LOG_POS=329;
mysql > start slave;
mysql > show slave status\G;


测试下同步效果
主节点上drop库,从上看


以上就是主从切换的手动过程,真实生产中,肯定不会这么手动搞吧,太慢了。
如何实现自动切换捏~( ̄▽ ̄)~*有的,有个软件,呵呵,我还以为自己写脚本呢,对吧,自己写就是精度可能是s秒级的了不起了,后面学到这个软件再说。
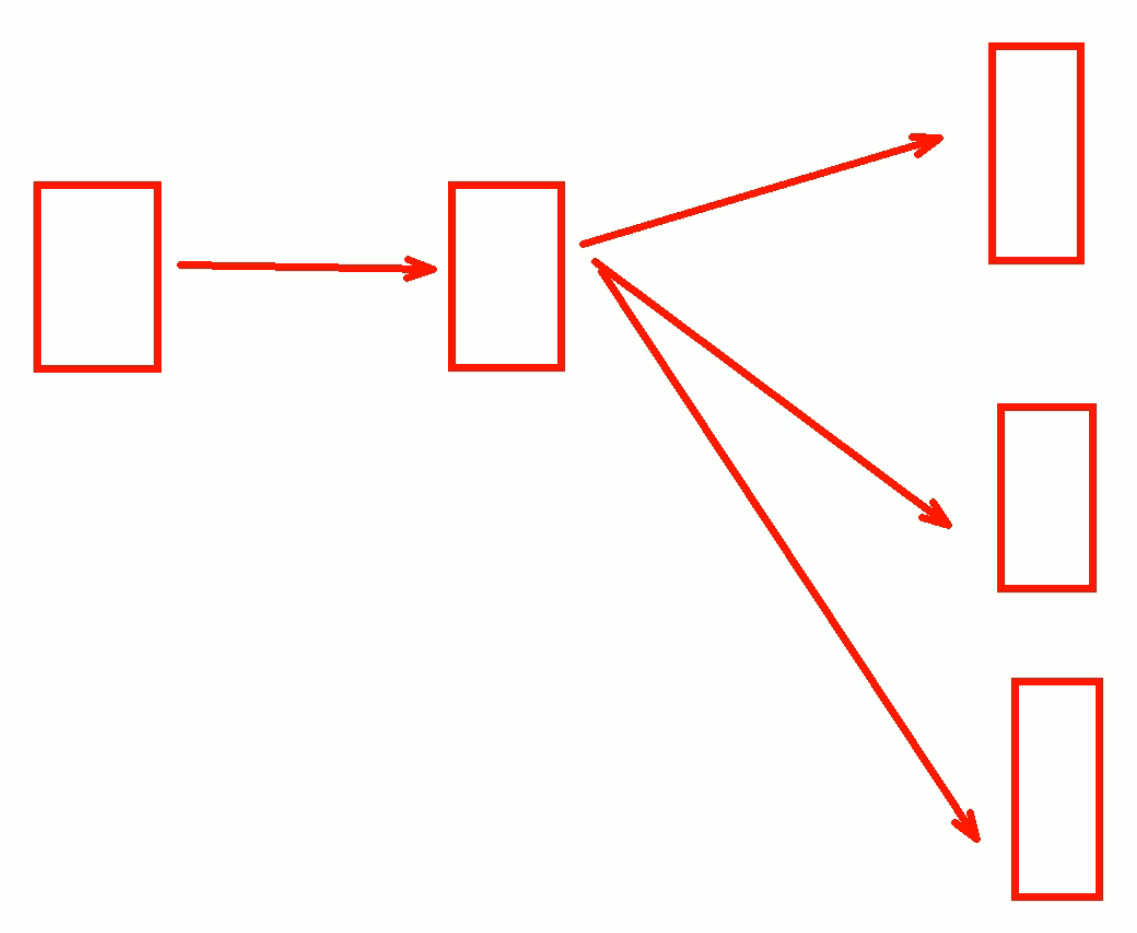
减少主节点的压力
主从,主节点的工作就是复制写和同步,如果从过多,就会导致复制的IO过大,此时就会考虑:一主---中间节点----多个从节点,这样的架构👇

从节点照旧,只是修改master指向中间节点就行;
中间节点的配置比较特别而已
那么问题来了

中间的级联节点,是没有dump线程的,slave如何去取数据呢。
要知道简单的主-从,是靠dump thread讲binlog dump出来传出去得,从那边就是靠io thread接收数据,存到realy.log里,然后rely.log文件里得东西,又靠sql thread读取后写入数据库里得。
1、所以级联节点,必须启用binlog
2、而且这个binlog里记录得内容,必须是从master传递过来的内容,可不能是自身的binlog哦哦,哈哈,而默认恰恰是自身的binlog。
3、binlog默认是记录本地写入进去的,而不会记录 sql thread 从relay.log读取写入db的内容。而且中继上要只中继relay.log里的binlog才对。
4、还得dump thread来送出去。
总之 ,dump线程起来,然后dump只会从本地binlog取数据,不会从relay-log取,所以这里要做进一步处理。

要让relay.log的数据写到数据库,然后让数据库里的数据再写道binlog,这样再利用dump进程才可以把从master来的binlog送出去。

讲了辣么多,结果就是一条选项的事咩?
其实我还知道,这个TMD的处理逻辑还得优化成BLACKHONE的方式。
master上
--------
yum -y install mariadb-server
vim /etc/my.cnf
server-id=1
log-bin
wr
systemctl restart mariadb
mysql > grant replication slave on *.* to repluser@'192.168.126.%' identified by 'centos';
mysqldump -A -single-transaction --master-data=1 > /data/all.sql
scp /data/all.sql root@192.168.126.130:/data/
中间proxy上
--------
scp -r root@192.168.126.129:/etc/yum.repo/ /etc/
yum -y install mariadb-server
vim /etc/my.cnf
server-id=130
log-bin
read-only
log_slave_updates
wr
systemctl restart mariadb-server
vim /data/all.sql
CHANGE MASTER TO
MASTER_HOST='192.168.126.129',
MASTER_USER='repluser',
MASTER_PASSWORD='centos',
MASTER_PORT=3306,
MASTER_CONNECT_RETRY=10,
wr
msyql < /data/all.sql
mysql > show slave status\G;
mysql > start slave;
# 不用再proxy上创建复制账号,本意是创建账号给 从节点们用,其实没必要,proxy拿这个账号同步master,本身也会同步到这个账号到本地,然后从节点就用同样的账号来同步proxy。
mysqldump -A -single-transaction --master-data=1 > /data/all_proxy.sql
scp /data/all.sql root@192.168.126.131:/data/
scp /data/all.sql root@192.168.126.132:/data/
slave节点上
---------
scp -r root@192.168.126.129:/etc/yum.repo /etc/
yum -y install mariadb-server
vim /etc/my.cnf
server-id=131
read-only
wr
systemctl restart mariadb-server
vim /data/all_proxy.sql
CHANGE MASTER TO
MASTER_HOST='192.168.126.130',
MASTER_USER='repluser',
MASTER_PASSWORD='centos',
MASTER_PORT=3306,
MASTER_CONNECT_RETRY=10,
wr
msyql < /data/all.sql
mysql > show slave status\G;
mysql > start slave;
以上配置OK,测试过了,过程截图略了,都是从yum -y remove mariadb开始的
最后验证:




OK,

这种的搞定